所属成套资源:2025 高考数学一轮复习课件专辑
2025高考数学一轮复习-第6章-数列-第5讲 数列的综合问题【课件】
展开
这是一份2025高考数学一轮复习-第6章-数列-第5讲 数列的综合问题【课件】,共27页。PPT课件主要包含了教材再现四基诊断,重点串讲能力提升等内容,欢迎下载使用。
课程标准 数列的综合运算问题以及数列与函数、不等式等知识的交汇问题,是历年高考的热点内容.一般围绕等差数列、等比数列的知识命题,涉及数列的函数性质、通项公式、前n项和公式等.
备考本部分内容重点在于熟练掌握等差、等比数列的基本知识与运算,同时有针对性地掌握几种特殊数列求和的方法.值得注意的是,在数列这部分还有可能出现结构不良形式的试题,解决这类新题型需要更加注意思维的灵活性与严谨性.
1.直播带货是一种直播和电商相结合的销售手段,目前受到了广大消费者的追捧,针对这种现状,某传媒公司决定逐年加大直播带货的资金投入.若该公司今年投入的资金为2 000万元,并在此基础上,以后每年的资金投入均比上一年增长12%,则该公司需经过 年其投入资金开始超过7 000万元( )(参考数据:lg 1.12≈0.049,lg 2≈0.301,lg 7≈0.845)A.14 B.13C.12 D.11
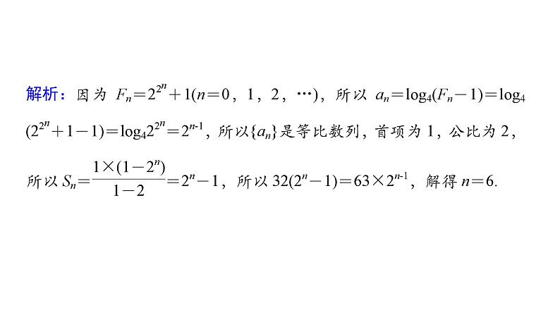
2.数学家也有许多美丽的错误,如法国数学家费马于1640年提出了Fn=22n+1(n=0,1,2,…)是质数的猜想,直到1732年才被善于计算的大数学家欧拉算出F5=641×6 700 417,不是质数.现设an=lg4(Fn-1)(n=1,2,…),Sn表示数列{an}的前n项和.若32Sn=63an,则n=( )A.5 B.6C.7 D.8
3.无穷数列{an}满足:只要ap=aq(p,q∈N*),必有ap+1=aq+1,则称{an}为“和谐递进数列”.若{an}为“和谐递进数列”,Sn为其前n项和,且a1=1,a2=2,a4=1,a6+a8=6,则S2 024= .
解析:由题意,得a1=a4=1,a2=2,所以a5=a2=2.同理a3=a6,a7=a4=1,a8=a5=2.因为a6+a8=6,所以a3=a6=4,故数列{an}是以3为周期的数列,S2 024=S674×3+2=(1+2+4)×674+(1+2)=4 721.
等差数列与等比数列的综合运算
例1 记Sn为等比数列{an}的前n项和.已知S2=2,S3=-6.(1)求{an}的通项公式;(2)求Sn,并判断Sn+1,Sn,Sn+2是否成等差数列.
等差与等比数列的基本量之间的关系,利用方程思想和通项公式、前n项和公式求解.求解时,应“瞄准目标”,灵活应用数列的有关性质,简化运算过程.
数列与其他知识的交汇问题
1.数列与不等式的综合问题及求解策略(1)判断数列问题的一些不等关系,可以利用数列的单调性比较大小或借助数列对应的函数的单调性比较大小.(2)以数列为载体,考查不等式恒成立的问题,此类问题可转化为函数的最值.(3)考查与数列有关的不等式证明问题,此类问题一般采用放缩法进行证明,有时也可通过构造函数进行证明.
2.数列与函数交汇问题的主要类型及求解策略(1)已知函数条件,解决数列问题,此类问题一般利用函数的性质、图象研究数列问题.(2)已知数列条件,解决函数问题,解决此类问题一般要利用数列的通项公式、前n项和公式、求和方法等对式子化简变形.
解:(1)设{an}的公差为d(d≠0),则S1=a1,S2=2a1+d,S4=4a1+6d.因为S1,S2,S4成等比数列,所以a1·(4a1+6d)=(2a1+d)2,所以2a1d=d2.因为d≠0,所以d=2a1.又因为S2=4,所以a1=1,d=2,所以an=2n-1.
相关课件
这是一份2025高考数学一轮复习-第6章-数列-规范解答 数列综合问题【课件】,共15页。PPT课件主要包含了►分值分布,明确思维·答题知策略等内容,欢迎下载使用。
这是一份2025高考数学一轮复习-第6章-数列-第4讲 数列求和【课件】,共42页。PPT课件主要包含了教材再现四基诊断,重点串讲能力提升,裂项相消法求和,错位相减法求和等内容,欢迎下载使用。
这是一份2025高考数学一轮复习-第6章-数列-第1讲 数列的概念【课件】,共54页。PPT课件主要包含了教材再现四基诊断,数列的有关概念,确定的顺序,每一个数,序号n,a1+a2++an,数列的分类,数列的第n项an,重点串讲能力提升,n+1等内容,欢迎下载使用。

